testtuoitre

Lẩu Thập Cẩm

Thử tài nhanh trí với đuổi hình bắt chữ (P210)

QUỐC ANH

Đăng lúc 06:17 | 20/06/2025

Mũi tên chỉ vào tách trà màu trắng to cho bạn bắt được chữ gì?

đuổi hình bắt chữ - Ảnh 1.

> Xem đáp án

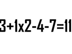
Câu 2: Hình ảnh này gợi cho bạn cần bắt chữ gì?

đuổi hình bắt chữ - Ảnh 3.

> Xem đáp án

Nguồn: Bắt chữ - WePlay

Thử tài đuổi hình bắt chữ với câu đố khác:

Thử tài nhanh trí với đuổi hình bắt chữ (P210) - Ảnh 5.Thử tài nhanh trí với đuổi hình bắt chữ (P209) Thử tài nhanh trí với đuổi hình bắt chữ (P210) - Ảnh 6.Thử tài nhanh trí với đuổi hình bắt chữ (P208) Thử tài nhanh trí với đuổi hình bắt chữ (P210) - Ảnh 7.Thử tài nhanh trí với đuổi hình bắt chữ (P207)
Bình luận (0)
thông tin tài khoản
X
Được quan tâm nhất Mới nhất Tặng sao cho thành viên
    Tin mới Lẩu thập cẩm